浮子流量计
浮子流量计是以浮子在垂直锥形管中随着流量变化而升降,改变它们之间的流通面积来进行测量的体积流量仪表,又称转子流量计。 只是由于浮子流量在变面积流量计中占了大多数,习惯上就称变面积流量计。
浮子流量计原理和结构
浮子流量计的流量检测元件是由一根自下向上扩大的垂直锥形管和一个沿着锥管轴上下移动的浮子组所组成。,被测流体从下向上经过锥管 1 和浮子 2 形成的环隙 3 时,浮子上下端产生差压形成浮子上升的力,当浮子所受上升力大于浸在流体中浮子重量时,浮子便上升,环隙面积随之增大,环隙处流体流速立即下降,浮子上下端差压降低,作用于浮子的上升力亦随着减小,直到上升力等于浸在流体中浮子重量时,浮子便稳定在某一高度。浮子在锥管中高度和通过的流量有对应关系。
体积流量 Q 的基本方程式为

a ― 仪表的流量系数,因浮子形状而异;
ε ― 被测流体为气体时气体膨胀系数,通常由于此系数校正量很小而被忽略,且通过校验已将它包括在流量系数内,如为液体则 ε=1
F ― 流通环形面积, m2
g ― 当地重力加速度, m/s2 ;
Vf -浮子体积,如有延伸体亦应包括, m3
ρf -浮子材料密度, kg/m3 ;
ρ ― 被测流体密度,如为气体是在浮子上游横截面上的密度, kg/m3 ;
Ff 一浮子工作直径(大直径)处的横截面积 m2 ;
G 一浮子质量, kg 。
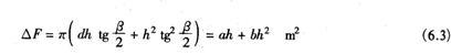
流通环形面积与浮子高度之间的关系如式( 6.3 )所示,当结构设计已定,则 d 、 β 为常量。式中有 h 的二次项,一般不能忽略此非线性关系,只有在圆锥角很小时,才可视为近似线性。

式中
d ― 浮子大直径(即工作直径) , m ;
h ― 浮子从锥管内径等于浮子大直径处上升高度, m
β -锥管的圆锥角;
a 、 b ― 常数。
口径 15 一 40 透明锥形管浮子流量计透明锥形管由硼硅玻璃制成,习惯简称玻璃管浮子流量计。流量分度直接刻在锥管外壁上,也有在锥管旁另装分度标尺。锥管内腔有圆锥体平滑面和带导向棱筋(或平面)两种。浮子在锥管内自由移动,或在锥管棱筋导向下移动,较大口平滑面内壁仪表还有采用导杆导向。